Vacuum Ultraviolet Data
Displaying 171-177 of 177 results.
VUV ID:
171
Molecular Name: 1-Propanol
Molecular Formula: CH3CH2CH2OH
Ratio: 100
Matrix:
Temperature (K): 140.00
VUV Range (nm): 110
Peak Value (nm): 110.00
Molecular Density (g/L):
Reference File: Reference file
Spectral File:
Spectral file
Data File To Download: Data file to download
Molecular Name: 1-Propanol
Molecular Formula: CH3CH2CH2OH
Ratio: 100
Matrix:
Temperature (K): 140.00
VUV Range (nm): 110
Peak Value (nm): 110.00
Molecular Density (g/L):
Reference File: Reference file
Spectral File:
Data File To Download: Data file to download
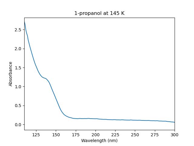
VUV ID:
172
Molecular Name: 1-Propanol
Molecular Formula: CH3CH2CH2OH
Ratio: 100
Matrix:
Temperature (K): 145.00
VUV Range (nm): 110
Peak Value (nm): 110.00
Molecular Density (g/L):
Reference File: Reference file
Spectral File:
Spectral file
Data File To Download: Data file to download
Molecular Name: 1-Propanol
Molecular Formula: CH3CH2CH2OH
Ratio: 100
Matrix:
Temperature (K): 145.00
VUV Range (nm): 110
Peak Value (nm): 110.00
Molecular Density (g/L):
Reference File: Reference file
Spectral File:
Data File To Download: Data file to download
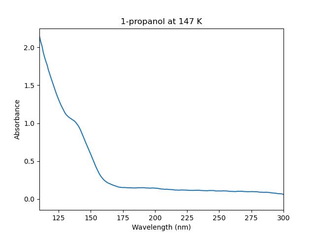
VUV ID:
173
Molecular Name: 1-Propanol
Molecular Formula: CH3CH2CH2OH
Ratio: 100
Matrix:
Temperature (K): 147.00
VUV Range (nm): 110
Peak Value (nm): 110.00
Molecular Density (g/L):
Reference File: Reference file
Spectral File:
Spectral file
Data File To Download: Data file to download
Molecular Name: 1-Propanol
Molecular Formula: CH3CH2CH2OH
Ratio: 100
Matrix:
Temperature (K): 147.00
VUV Range (nm): 110
Peak Value (nm): 110.00
Molecular Density (g/L):
Reference File: Reference file
Spectral File:
Data File To Download: Data file to download
VUV ID:
174
Molecular Name: 1-Propanol
Molecular Formula: CH3CH2CH2OH
Ratio: 100
Matrix:
Temperature (K): 150.00
VUV Range (nm): 110
Peak Value (nm): 110.00
Molecular Density (g/L):
Reference File: Reference file
Spectral File:
Spectral file
Data File To Download: Data file to download
Molecular Name: 1-Propanol
Molecular Formula: CH3CH2CH2OH
Ratio: 100
Matrix:
Temperature (K): 150.00
VUV Range (nm): 110
Peak Value (nm): 110.00
Molecular Density (g/L):
Reference File: Reference file
Spectral File:
Data File To Download: Data file to download
VUV ID:
175
Molecular Name: 1-Propanol
Molecular Formula: CH3CH2CH2OH
Ratio: 100
Matrix:
Temperature (K): 160.00
VUV Range (nm): 110
Peak Value (nm): 110.00
Molecular Density (g/L):
Reference File: Reference file
Spectral File:
Spectral file
Data File To Download: Data file to download
Molecular Name: 1-Propanol
Molecular Formula: CH3CH2CH2OH
Ratio: 100
Matrix:
Temperature (K): 160.00
VUV Range (nm): 110
Peak Value (nm): 110.00
Molecular Density (g/L):
Reference File: Reference file
Spectral File:
Data File To Download: Data file to download
VUV ID:
176
Molecular Name: 1-Propanol
Molecular Formula: CH3CH2CH2OH
Ratio: 100
Matrix:
Temperature (K): 170.00
VUV Range (nm): 110
Peak Value (nm): 110.00
Molecular Density (g/L):
Reference File: Reference file
Spectral File:
Spectral file
Data File To Download: Data file to download
Molecular Name: 1-Propanol
Molecular Formula: CH3CH2CH2OH
Ratio: 100
Matrix:
Temperature (K): 170.00
VUV Range (nm): 110
Peak Value (nm): 110.00
Molecular Density (g/L):
Reference File: Reference file
Spectral File:
Data File To Download: Data file to download
VUV ID:
177
Molecular Name: 1-Propanol
Molecular Formula: CH3CH2CH2OH
Ratio: 100
Matrix:
Temperature (K): 180.00
VUV Range (nm): 110
Peak Value (nm): 110.00
Molecular Density (g/L):
Reference File: Reference file
Spectral File:
Spectral file
Data File To Download: Data file to download
Molecular Name: 1-Propanol
Molecular Formula: CH3CH2CH2OH
Ratio: 100
Matrix:
Temperature (K): 180.00
VUV Range (nm): 110
Peak Value (nm): 110.00
Molecular Density (g/L):
Reference File: Reference file
Spectral File:
Data File To Download: Data file to download
